• Descriptive
    • Moments
    • Concentration
    • Central Tendency
    • Variability
    • Stem-and-Leaf Plot
    • Histogram & Frequency Table
    • Data Quality Forensics
    • Conditional EDA
    • Quantiles
    • Kernel Density Estimation
    • Normal QQ Plot
    • Bootstrap Plot

    • Multivariate Descriptive Statistics
  • Distributions
    • Binomial Probabilities
    • Geometric Probabilities
    • Negative Binomial Probabilities
    • Hypergeometric Probabilities
    • Multinomial Probabilities
    • Dirichlet
    • Poisson Probabilities

    • Exponential
    • Gamma
    • Erlang
    • Weibull
    • Rayleigh
    • Maxwell-Boltzmann
    • Lognormal
    • Pareto
    • Inverse Gamma
    • Inverse Chi-Square

    • Beta
    • Power
    • Beta Prime (Inv. Beta)
    • Triangular

    • Normal (area)
    • Logistic
    • Laplace
    • Cauchy (standard)
    • Cauchy (location-scale)
    • Gumbel
    • Fréchet
    • Generalized Extreme Value

    • Normal RNG
    • ML Fitting
    • Tukey Lambda PPCC
    • Box-Cox Normality Plot
    • Noncentral t
    • Noncentral F
    • Sample Correlation r

    • Empirical Tests
  • Hypotheses
    • Theoretical Aspects of Hypothesis Testing
    • Bayesian Inference
    • Minimum Sample Size

    • Empirical Tests
    • Multivariate (pair-wise) Testing
  • Models
    • Manual Model Building
    • Guided Model Building
  • Time Series
    • Time Series Plot
    • Decomposition
    • Exponential Smoothing

    • Blocked Bootstrap Plot
    • Mean Plot
    • (P)ACF
    • VRM
    • Standard Deviation-Mean Plot
    • Spectral Analysis
    • ARIMA

    • Cross Correlation Function
    • Granger Causality
  1. Regression Models
  2. 139  Cox Proportional Hazards Regression
  • Preface
  • Getting Started
    • 1  Introduction
    • 2  Why Do We Need Innovative Technology?
    • 3  Basic Definitions
    • 4  The Big Picture: Why We Analyze Data
  • Introduction to Probability
    • 5  Definitions of Probability
    • 6  Jeffreys’ axiom system
    • 7  Bayes’ Theorem
    • 8  Sensitivity and Specificity
    • 9  Naive Bayes Classifier
    • 10  Law of Large Numbers

    • 11  Problems
  • Probability Distributions
    • 12  Bernoulli Distribution
    • 13  Binomial Distribution
    • 14  Geometric Distribution
    • 15  Negative Binomial Distribution
    • 16  Hypergeometric Distribution
    • 17  Multinomial Distribution
    • 18  Poisson Distribution

    • 19  Uniform Distribution (Rectangular Distribution)
    • 20  Normal Distribution (Gaussian Distribution)
    • 21  Gaussian Naive Bayes Classifier
    • 22  Chi Distribution
    • 23  Chi-squared Distribution (1 parameter)
    • 24  Chi-squared Distribution (2 parameters)
    • 25  Student t-Distribution
    • 26  Fisher F-Distribution
    • 27  Exponential Distribution
    • 28  Lognormal Distribution
    • 29  Gamma Distribution
    • 30  Beta Distribution
    • 31  Weibull Distribution
    • 32  Pareto Distribution
    • 33  Inverse Gamma Distribution
    • 34  Rayleigh Distribution
    • 35  Erlang Distribution
    • 36  Logistic Distribution
    • 37  Laplace Distribution
    • 38  Gumbel Distribution
    • 39  Cauchy Distribution
    • 40  Triangular Distribution
    • 41  Power Distribution
    • 42  Beta Prime Distribution
    • 43  Sample Correlation Distribution
    • 44  Dirichlet Distribution
    • 45  Generalized Extreme Value (GEV) Distribution
    • 46  Frechet Distribution
    • 47  Noncentral t Distribution
    • 48  Noncentral F Distribution
    • 49  Inverse Chi-Squared Distribution
    • 50  Maxwell-Boltzmann Distribution
    • 51  Distribution Relationship Map

    • 52  Problems
  • Descriptive Statistics & Exploratory Data Analysis
    • 53  Types of Data
    • 54  Datasheets

    • 55  Frequency Plot (Bar Plot)
    • 56  Frequency Table
    • 57  Contingency Table
    • 58  Binomial Classification Metrics
    • 59  Confusion Matrix
    • 60  ROC Analysis

    • 61  Stem-and-Leaf Plot
    • 62  Histogram
    • 63  Data Quality Forensics
    • 64  Quantiles
    • 65  Central Tendency
    • 66  Variability
    • 67  Skewness & Kurtosis
    • 68  Concentration
    • 69  Notched Boxplot
    • 70  Scatterplot
    • 71  Pearson Correlation
    • 72  Rank Correlation
    • 73  Partial Pearson Correlation
    • 74  Simple Linear Regression
    • 75  Moments
    • 76  Quantile-Quantile Plot (QQ Plot)
    • 77  Normal Probability Plot
    • 78  Probability Plot Correlation Coefficient Plot (PPCC Plot)
    • 79  Box-Cox Normality Plot
    • 80  Kernel Density Estimation
    • 81  Bivariate Kernel Density Plot
    • 82  Conditional EDA: Panel Diagnostics
    • 83  Bootstrap Plot (Central Tendency)
    • 84  Survey Scores Rank Order Comparison
    • 85  Cronbach Alpha

    • 86  Equi-distant Time Series
    • 87  Time Series Plot (Run Sequence Plot)
    • 88  Mean Plot
    • 89  Blocked Bootstrap Plot (Central Tendency)
    • 90  Standard Deviation-Mean Plot
    • 91  Variance Reduction Matrix
    • 92  (Partial) Autocorrelation Function
    • 93  Periodogram & Cumulative Periodogram

    • 94  Problems
  • Hypothesis Testing
    • 95  Normal Distributions revisited
    • 96  The Population
    • 97  The Sample
    • 98  The One-Sided Hypothesis Test
    • 99  The Two-Sided Hypothesis Test
    • 100  When to use a one-sided or two-sided test?
    • 101  What if \(\sigma\) is unknown?
    • 102  The Central Limit Theorem (revisited)
    • 103  Statistical Test of the Population Mean with known Variance
    • 104  Statistical Test of the Population Mean with unknown Variance
    • 105  Statistical Test of the Variance
    • 106  Statistical Test of the Population Proportion
    • 107  Statistical Test of the Standard Deviation \(\sigma\)
    • 108  Statistical Test of the difference between Means -- Independent/Unpaired Samples
    • 109  Statistical Test of the difference between Means -- Dependent/Paired Samples
    • 110  Statistical Test of the difference between Variances -- Independent/Unpaired Samples

    • 111  Hypothesis Testing for Research Purposes
    • 112  Decision Thresholds, Alpha, and Confidence Levels
    • 113  Bayesian Inference for Decision-Making
    • 114  One Sample t-Test
    • 115  Skewness & Kurtosis Tests
    • 116  Paired Two Sample t-Test
    • 117  Wilcoxon Signed-Rank Test
    • 118  Unpaired Two Sample t-Test
    • 119  Unpaired Two Sample Welch Test
    • 120  Two One-Sided Tests (TOST) for Equivalence
    • 121  Mann-Whitney U test (Wilcoxon Rank-Sum Test)
    • 122  Bayesian Two Sample Test
    • 123  Median Test based on Notched Boxplots
    • 124  Chi-Squared Tests for Count Data
    • 125  Kolmogorov-Smirnov Test
    • 126  One Way Analysis of Variance (1-way ANOVA)
    • 127  Kruskal-Wallis Test
    • 128  Two Way Analysis of Variance (2-way ANOVA)
    • 129  Repeated Measures ANOVA
    • 130  Friedman Test
    • 131  Testing Correlations
    • 132  A Note on Causality

    • 133  Problems
  • Regression Models
    • 134  Simple Linear Regression Model (SLRM)
    • 135  Multiple Linear Regression Model (MLRM)
    • 136  Logistic Regression
    • 137  Generalized Linear Models
    • 138  Multinomial and Ordinal Logistic Regression
    • 139  Cox Proportional Hazards Regression
    • 140  Conditional Inference Trees
    • 141  Leaf Diagnostics for Conditional Inference Trees
    • 142  Conditional Random Forests
    • 143  Hypothesis Testing with Linear Regression Models (from a Practical Point of View)

    • 144  Problems
  • Introduction to Time Series Analysis
    • 145  Case: the Market of Health and Personal Care Products
    • 146  Decomposition of Time Series
    • 147  Ad hoc Forecasting of Time Series
  • Box-Jenkins Analysis
    • 148  Introduction to Box-Jenkins Analysis
    • 149  Theoretical Concepts
    • 150  Stationarity
    • 151  Identifying ARMA parameters
    • 152  Estimating ARMA Parameters and Residual Diagnostics
    • 153  Forecasting with ARIMA models
    • 154  Intervention Analysis
    • 155  Cross-Correlation Function
    • 156  Transfer Function Noise Models
    • 157  General-to-Specific Modeling
  • Model Building Strategies
    • 158  Introduction to Model Building Strategies
    • 159  Manual Model Building
    • 160  Model Validation
    • 161  Regularization Methods
    • 162  Hyperparameter Optimization Strategies
    • 163  Guided Model Building in Practice
    • 164  Diagnostics, Revision, and Guided Forecasting
    • 165  Leakage, Target Encoding, and Robust Regression
  • References
  • Appendices
    • Appendices
    • A  Method Selection Guide
    • B  Presentations and Teaching Materials
    • C  R Language Concepts for Statistical Computing
    • D  Matrix Algebra
    • E  Standard Normal Table (Gaussian Table)
    • F  Critical values of Student’s \(t\) distribution with \(\nu\) degrees of freedom
    • G  Upper-tail critical values of the \(\chi^2\)-distribution with \(\nu\) degrees of freedom
    • H  Lower-tail critical values of the \(\chi^2\)-distribution with \(\nu\) degrees of freedom

Table of contents

  • 139.1 When to Use
  • 139.2 Key Concepts
    • 139.2.1 The Survival Function
    • 139.2.2 The Hazard Function
    • 139.2.3 Censoring
  • 139.3 The Cox Proportional Hazards Model
    • 139.3.1 Model Specification
    • 139.3.2 Interpretation of Coefficients
  • 139.4 Kaplan-Meier Curves
    • 139.4.1 R Code
    • 139.4.2 Comparing Groups
    • 139.4.3 Log-Rank Test
  • 139.5 Fitting the Cox Model
    • 139.5.1 R Code
    • 139.5.2 Extracting Key Results
    • 139.5.3 Interpretation Example
  • 139.6 Assumptions
    • 139.6.1 Proportional Hazards Assumption
    • 139.6.2 Testing with Schoenfeld Residuals
    • 139.6.3 Other Assumptions
  • 139.7 Diagnostics
    • 139.7.1 Martingale Residuals
    • 139.7.2 Influence Diagnostics
  • 139.8 Pros & Cons
    • 139.8.1 Pros
    • 139.8.2 Cons
  • 139.9 Task
  1. Regression Models
  2. 139  Cox Proportional Hazards Regression

139  Cox Proportional Hazards Regression

139.1 When to Use

Cox proportional hazards (Cox PH) regression is used for time-to-event data, also known as survival data. This type of data measures the time until a specific event occurs. Examples include:

  • Time until death after diagnosis
  • Time until machine failure
  • Time until customer churn
  • Time until first relapse after treatment
  • Duration of unemployment

A key feature of survival data is censoring: some subjects may not have experienced the event by the end of the study. For these subjects, we know the event did not occur during the observation period, but we do not know when (or if) it will occur. The Cox model handles censored observations naturally.

139.2 Key Concepts

139.2.1 The Survival Function

The survival function \(S(t)\) gives the probability of surviving beyond time \(t\):

\[ S(t) = P(T > t) \]

where \(T\) is the random variable representing the time to event. \(S(t)\) starts at 1 (everyone alive at the beginning) and decreases over time.

139.2.2 The Hazard Function

The hazard function \(h(t)\) represents the instantaneous rate of the event occurring at time \(t\), given survival up to that point:

\[ h(t) = \lim_{\Delta t \to 0} \frac{P(t \leq T < t + \Delta t \mid T \geq t)}{\Delta t} \]

The hazard is not a probability – it is a rate and can exceed 1. A higher hazard means a greater instantaneous risk of the event.

139.2.3 Censoring

Table 139.1: Types of censoring
Type Description Example
Right censoring Event has not occurred by end of observation Patient still alive at study end
Left censoring Event occurred before observation began Disease present at first screening
Interval censoring Event occurred within a known time interval Infection detected between two clinic visits

The Cox model handles right censoring, the most common type in practice.

139.3 The Cox Proportional Hazards Model

139.3.1 Model Specification

The Cox PH model, proposed by Cox (Cox (1972)), specifies the hazard for individual \(i\) as:

\[ h_i(t) = h_0(t) \cdot \exp(\beta_1 X_{i1} + \beta_2 X_{i2} + ... + \beta_k X_{ik}) \]

where:

  • \(h_0(t)\) is the baseline hazard function – the hazard for a subject with all covariates equal to zero
  • \(\beta_1, ..., \beta_k\) are the regression coefficients
  • \(X_{i1}, ..., X_{ik}\) are the covariates for subject \(i\)

The model is semi-parametric: the baseline hazard \(h_0(t)\) is left completely unspecified, while the covariate effects are parametric (exponential). This makes the Cox model flexible – it does not assume any particular distribution for survival times.

139.3.2 Interpretation of Coefficients

The coefficients are interpreted as log hazard ratios. Exponentiating gives the hazard ratio (HR):

\[ \text{HR}_j = e^{\beta_j} \]

The hazard ratio represents the multiplicative change in the hazard for a one-unit increase in \(X_j\), holding other covariates constant:

  • \(\text{HR} > 1\): the covariate increases the hazard (shorter survival)
  • \(\text{HR} = 1\): no effect (equivalent to \(\beta_j = 0\))
  • \(\text{HR} < 1\): the covariate decreases the hazard (longer survival)

For example, if \(\text{HR} = 2\) for a treatment variable (1 = treated, 0 = control), then treated subjects have twice the instantaneous risk of the event at any time point compared to control subjects.

139.4 Kaplan-Meier Curves

Before fitting a Cox model, it is standard practice to visualize survival using Kaplan-Meier curves (Kaplan and Meier 1958) – nonparametric estimates of the survival function.

139.4.1 R Code

library(survival)

# Use the lung cancer dataset from the survival package
# time: survival time in days
# status: 1 = censored, 2 = dead
# sex: 1 = male, 2 = female
data(lung)

cat("Dataset overview:\n")
cat("n =", nrow(lung), "\n")
cat("Events:", sum(lung$status == 2), "\n")
cat("Censored:", sum(lung$status == 1), "\n\n")

# Kaplan-Meier estimate (overall)
km_fit <- survfit(Surv(time, status) ~ 1, data = lung)
cat("Median survival time:", km_fit$table["median"], "days\n")
Dataset overview:
n = 228 
Events: 165 
Censored: 63 

Median survival time: days
Code
library(survival)
data(lung)
km_fit <- survfit(Surv(time, status) ~ 1, data = lung)

plot(km_fit, xlab = "Time (days)", ylab = "Survival Probability",
     main = "Kaplan-Meier Survival Curve",
     col = "blue", lwd = 2, conf.int = TRUE)
legend("topright", legend = c("Survival estimate", "95% CI"),
       col = c("blue", "blue"), lwd = c(2, 1), lty = c(1, 2))
Figure 139.1: Kaplan-Meier survival curve for lung cancer patients

139.4.2 Comparing Groups

Code
library(survival)
data(lung)

km_sex <- survfit(Surv(time, status) ~ sex, data = lung)

plot(km_sex, xlab = "Time (days)", ylab = "Survival Probability",
     main = "Survival by Sex",
     col = c("blue", "red"), lwd = 2)
legend("topright", legend = c("Male", "Female"),
       col = c("blue", "red"), lwd = 2)
Figure 139.2: Kaplan-Meier survival curves by sex

139.4.3 Log-Rank Test

The log-rank test (Mantel 1966) is used to formally compare survival distributions between groups:

library(survival)
data(lung)

# Log-rank test comparing survival by sex
survdiff(Surv(time, status) ~ sex, data = lung)
Call:
survdiff(formula = Surv(time, status) ~ sex, data = lung)

        N Observed Expected (O-E)^2/E (O-E)^2/V
sex=1 138      112     91.6      4.55      10.3
sex=2  90       53     73.4      5.68      10.3

 Chisq= 10.3  on 1 degrees of freedom, p= 0.001 

139.5 Fitting the Cox Model

139.5.1 R Code

library(survival)
data(lung)

# Fit Cox proportional hazards model
cox_model <- coxph(Surv(time, status) ~ age + sex + ph.ecog + ph.karno + wt.loss,
                   data = lung)
summary(cox_model)
Call:
coxph(formula = Surv(time, status) ~ age + sex + ph.ecog + ph.karno + 
    wt.loss, data = lung)

  n= 213, number of events= 151 
   (15 observations deleted due to missingness)

              coef exp(coef)  se(coef)      z Pr(>|z|)    
age       0.015157  1.015273  0.009763  1.553 0.120538    
sex      -0.631422  0.531835  0.177134 -3.565 0.000364 ***
ph.ecog   0.740204  2.096364  0.191332  3.869 0.000109 ***
ph.karno  0.015251  1.015368  0.009797  1.557 0.119553    
wt.loss  -0.009298  0.990745  0.006699 -1.388 0.165168    
---
Signif. codes:  0 '***' 0.001 '**' 0.01 '*' 0.05 '.' 0.1 ' ' 1

         exp(coef) exp(-coef) lower .95 upper .95
age         1.0153     0.9850    0.9960    1.0349
sex         0.5318     1.8803    0.3758    0.7526
ph.ecog     2.0964     0.4770    1.4408    3.0502
ph.karno    1.0154     0.9849    0.9961    1.0351
wt.loss     0.9907     1.0093    0.9778    1.0038

Concordance= 0.64  (se = 0.026 )
Likelihood ratio test= 33.53  on 5 df,   p=3e-06
Wald test            = 32.27  on 5 df,   p=5e-06
Score (logrank) test = 32.83  on 5 df,   p=4e-06

139.5.2 Extracting Key Results

# Hazard ratios with 95% CI
cat("Hazard Ratios (with 95% CI):\n")
hr <- exp(cbind(HR = coef(cox_model), confint(cox_model)))
print(round(hr, 3))
Hazard Ratios (with 95% CI):
            HR 2.5 % 97.5 %
age      1.015 0.996  1.035
sex      0.532 0.376  0.753
ph.ecog  2.096 1.441  3.050
ph.karno 1.015 0.996  1.035
wt.loss  0.991 0.978  1.004

139.5.3 Interpretation Example

From the output above, we can interpret the hazard ratios:

  • sex (HR < 1 if female = 2): Females have a lower hazard of death, indicating better survival
  • ph.ecog (physician-rated performance status): Higher ECOG scores indicate worse performance and are associated with higher hazard
  • age: Each additional year of age is associated with a slight increase in hazard

139.6 Assumptions

139.6.1 Proportional Hazards Assumption

The fundamental assumption of the Cox model is that the hazard ratio between any two subjects is constant over time. In other words, if treatment doubles the hazard at time \(t = 1\), it also doubles the hazard at \(t = 100\).

Mathematically, for two subjects \(i\) and \(j\):

\[ \frac{h_i(t)}{h_j(t)} = \frac{h_0(t) \exp(\beta' X_i)}{h_0(t) \exp(\beta' X_j)} = \exp(\beta' (X_i - X_j)) \]

The baseline hazard \(h_0(t)\) cancels, making the ratio independent of time.

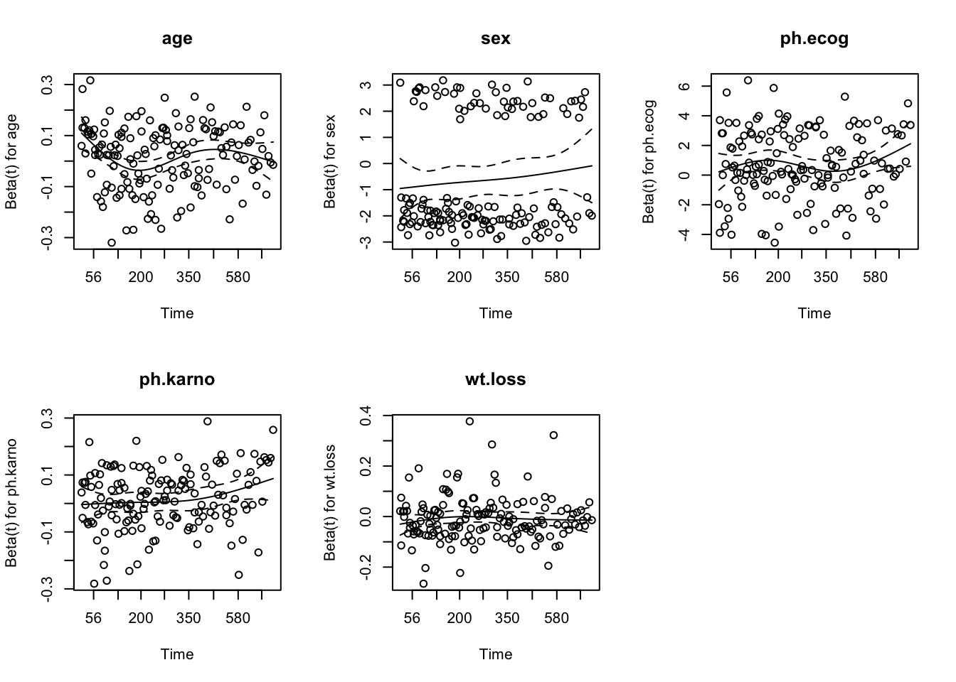
139.6.2 Testing with Schoenfeld Residuals

The proportional hazards assumption can be tested using Schoenfeld residuals (Schoenfeld 1982):

library(survival)
data(lung)
cox_model <- coxph(Surv(time, status) ~ age + sex + ph.ecog + ph.karno + wt.loss,
                   data = lung)

# Test proportional hazards assumption
ph_test <- cox.zph(cox_model)
print(ph_test)
         chisq df     p
age      0.186  1 0.666
sex      2.059  1 0.151
ph.ecog  1.359  1 0.244
ph.karno 4.916  1 0.027
wt.loss  0.110  1 0.740
GLOBAL   7.174  5 0.208

A significant p-value for a covariate indicates that the proportional hazards assumption may be violated for that variable.

Code
library(survival)
data(lung)
cox_model <- coxph(Surv(time, status) ~ age + sex + ph.ecog + ph.karno + wt.loss,
                   data = lung)
ph_test <- cox.zph(cox_model)

# Plot Schoenfeld residuals for each variable
par(mfrow = c(2, 3))
for(i in 1:5) {
  plot(ph_test[i], main = names(cox_model$coefficients)[i])
}
par(mfrow = c(1, 1))
Figure 139.3: Schoenfeld residuals over time for testing proportional hazards

A flat trend in the Schoenfeld residual plot supports the proportional hazards assumption. A clear trend (increasing or decreasing) suggests the effect of that covariate changes over time.

139.6.3 Other Assumptions

  • Independence of observations: Each subject’s survival is independent of others
  • Linear relationship between log-hazard and covariates: The effect of each predictor on the log-hazard is linear
  • Non-informative censoring: The censoring mechanism is unrelated to the probability of the event

139.7 Diagnostics

139.7.1 Martingale Residuals

Martingale residuals are useful for detecting non-linearity in the relationship between a continuous covariate and the log-hazard:

Code
library(survival)
data(lung)

# Fit null model to get martingale residuals for exploring functional form
null_model <- coxph(Surv(time, status) ~ 1, data = lung)
mart_resid <- residuals(null_model, type = "martingale")

# Check functional form for age
plot(lung$age, mart_resid, xlab = "Age", ylab = "Martingale Residuals",
     main = "Functional Form: Age", pch = 20, col = rgb(0, 0, 0, 0.3))
lines(lowess(lung$age, mart_resid), col = "red", lwd = 2)
abline(h = 0, lty = 2)
Figure 139.4: Martingale residuals vs. age for checking functional form

A smooth curve close to a straight line supports the linearity assumption. Curvature suggests a transformation or nonlinear term may be needed.

139.7.2 Influence Diagnostics

library(survival)
data(lung)
cox_model <- coxph(Surv(time, status) ~ age + sex + ph.ecog + ph.karno + wt.loss,
                   data = lung)

# dfbeta residuals: influence of each observation on coefficients
dfb <- residuals(cox_model, type = "dfbeta")
colnames(dfb) <- names(coef(cox_model))
cat("Most influential observations for 'sex' coefficient:\n")
top_influence <- order(abs(dfb[, "sex"]), decreasing = TRUE)[1:5]
print(data.frame(
  observation = top_influence,
  dfbeta_sex = round(dfb[top_influence, "sex"], 4)
))
Most influential observations for 'sex' coefficient:
    observation dfbeta_sex
37           33     0.0584
38           34    -0.0457
129         121    -0.0331
17           15     0.0279
85           78     0.0278

139.8 Pros & Cons

139.8.1 Pros

  • Semi-parametric: no need to specify the distribution of survival times
  • Handles right-censored data naturally
  • Coefficients are easily interpretable as hazard ratios
  • Can accommodate continuous and categorical covariates
  • Well-established theoretical framework with formal inference

139.8.2 Cons

  • Requires the proportional hazards assumption (constant hazard ratios over time)
  • Cannot directly estimate survival probabilities without estimating the baseline hazard
  • Does not handle time-varying covariates without extensions
  • Not suitable for recurrent events without modification
  • Large samples needed for reliable estimation with many covariates

139.9 Task

  1. Using the lung dataset from the survival package, fit a Cox proportional hazards model with at least three predictors. Interpret the hazard ratios and their confidence intervals.

  2. Test the proportional hazards assumption using Schoenfeld residuals. Do any covariates violate the assumption?

  3. Create Kaplan-Meier curves comparing survival between males and females. Perform a log-rank test and compare the result with the Cox model’s coefficient for sex.

  4. Use martingale residuals to check whether age has a linear relationship with the log-hazard. If not, suggest and fit an appropriate transformation.

Cox, D. R. 1972. “Regression Models and Life-Tables.” Journal of the Royal Statistical Society: Series B (Methodological) 34 (2): 187–220. https://doi.org/10.1111/j.2517-6161.1972.tb00899.x.
Kaplan, Edward L., and Paul Meier. 1958. “Nonparametric Estimation from Incomplete Observations.” Journal of the American Statistical Association 53 (282): 457–81. https://doi.org/10.1080/01621459.1958.10501452.
Mantel, Nathan. 1966. “Evaluation of Survival Data and Two New Rank Order Statistics Arising in Its Consideration.” Cancer Chemotherapy Reports 50 (3): 163–70.
Schoenfeld, David. 1982. “Partial Residuals for the Proportional Hazards Regression Model.” Biometrika 69 (1): 239–41. https://doi.org/10.1093/biomet/69.1.239.
138  Multinomial and Ordinal Logistic Regression
140  Conditional Inference Trees

© 2026 Patrick Wessa. Provided as-is, without warranty.

Feedback: e-mail | Anonymous contributions: click to copy (Sats) | click to copy (XMR)

Cookie Preferences